Thế giới Phương tiện - Lựa chọn của bạn
 Thứ năm, 09/04/2026
Đăng bài mới

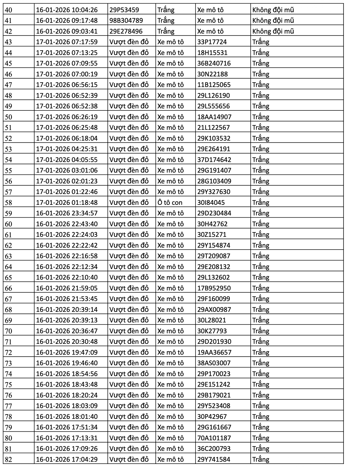
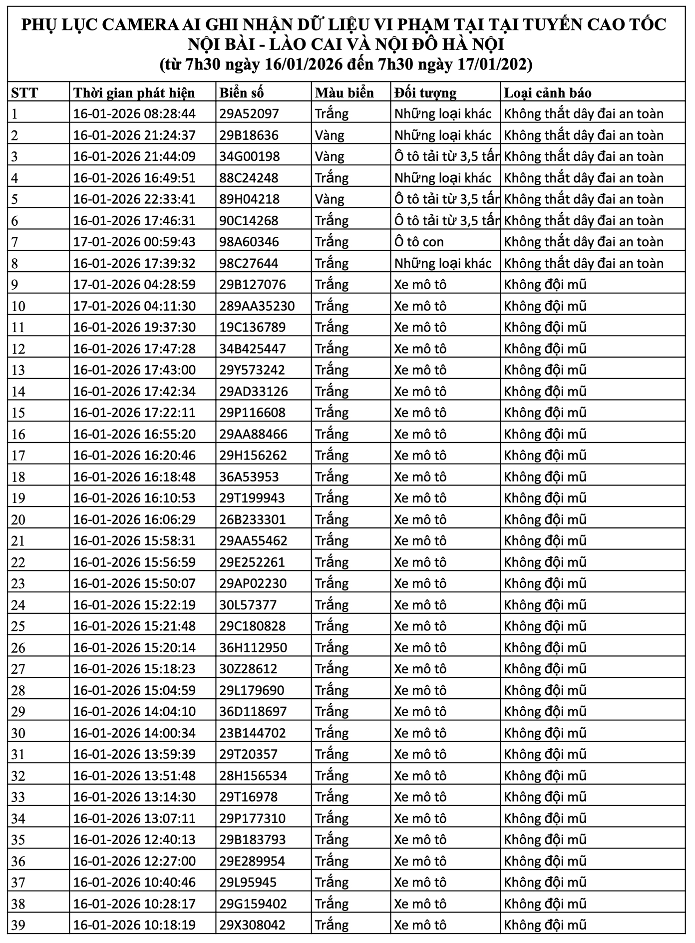
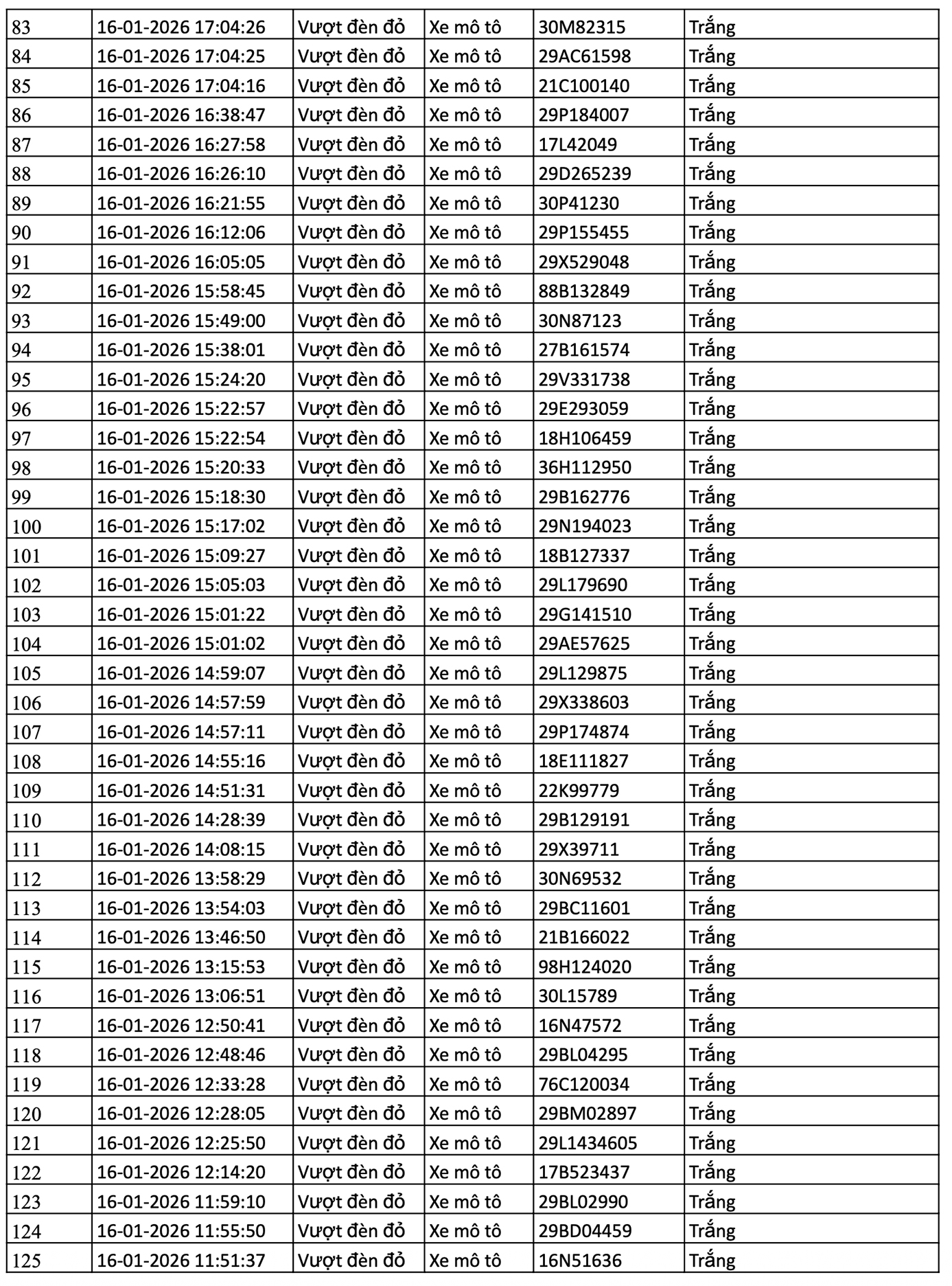
Danh sách 112 trường hợp vượt đèn đỏ bị camera AI phát hiện trong ngày 16/1/2026 tại nội đô Hà Nội

Tham gia: 17/08/2023 - Tổng số bài viết: 99
18:55 | 17/01/2026
5.0 (1 đánh giá)

Danh sách các phương tiện giao thông được camera AI phát hiện vi phạm giao thông tại nội đô Hà Nội và cao tốc Nội Bài - Lào Cai 7h30 ngày 16/1/2026 - đến 7h30 ngày 17/1/2026.

Các trường hợp vi phạm này đều được thông tin tới chủ phương tiện để xử lý theo quy định.

 

Trong danh sách này, các lỗi được hệ thống camera AI ghi nhận bao gồm:

  • 34 trường hợp Không đội mũ bảo hiểm
  • 112 trường hợp Vượt đèn đỏ
  • 8 trường hợp Không thắt dây an toàn

Số lượng người đi mô tô vi phạm chỉ tính riêng tại nút giao phố Phạm Văn Bạch - Hoàng Quán Chi và đường Lê Văn Lương (nội đô Hà Nội).

Cục Cảnh sát Giao thông
Trắc nghiệm lý thuyết Giấy phép Lái xe
01Câu 260/ Khi điều khiển ô tô xuống đường dốc dài, độ dốc cao, người lái xe số tự động cần thực hiện các thao tác nào dưới đây để đảm bảo an toàn?
02Câu 261/ Khi đi từ đường nhánh ra đường chính, người lái xe phải xử lý như thế nào là đúng quy tắc giao thông?
03Câu 262/ Khi đang lái xe mô tô và ô tô, nếu có nhu cầu sử dụng điện thoại để nhắn tin hoặc gọi điện, người lái xe phải thực hiện như thế nào trong các tình huống dưới đây?
04Câu 263/ Những thói quen nào dưới đây điều khiển xe mô tô tay ga tham gia giao thông dễ gây tai nạn nguy hiểm?
05Câu 264/ Người ngồi trên xe ô tô cần thực hiện những thao tác mở cửa như thế nào để xuống xe một cách an toàn?
06Câu 265/ Khi điều khiển xe mô tô quay đầu người lái xe cần thực hiện như thế nào để đảm bảo an toàn?
Gửi đáp án
Đã có 17 người tham gia trả lời
Đánh giá
5.0
Số người đánh giá: 1
Rất hay
(1)
(0)
(0)
(0)
(0)
Những trường có dấu * là trường bắt buộc phải nhập thông tin
Bạn đọc nhận xét (1)
  • Quang -
    Camera AI giúp phát hiện vi phạm minh bạch, chính xác hơn, góp phần nâng cao ý thức chấp hành luật giao thông và đảm bảo an toàn cho mọi người
    Ngày gửi: 2 tháng trước - 17/01/2026 - 23:38

Chủ đề khác

Ford Việt Nam và Tasco Auto ký kết hợp tác mở rộng hạ tầng sạc xe điện

Ford Việt Nam và Tasco Auto ký kết hợp tác mở rộng hạ tầng sạc xe điện

0 (0 đánh giá)
Ford Việt Nam và Tasco Auto đã chính thức ký kết Biên bản ghi nhớ trong việc chia sẻ hạ tầng sạc xe điện Ford Việt Nam đang đầu tư và phát ...
Giá xăng dầu điều chỉnh ngày 08/04: Hiệu ứng tích cực từ Trung Đông, xăng dầu đồng loạt giảm giá, diesel giảm gần 2.000 đồng/lít

Giá xăng dầu điều chỉnh ngày 08/04: Hiệu ứng tích cực từ Trung Đông, xăng dầu đồng loạt giảm giá, diesel giảm gần 2.000 đồng/lít

0 (0 đánh giá)
Xăng dầu đồng loạt được điều chỉnh giá bán vào chiều ngày 08/04 với xu hướng giảm giá đồng loạt cho tất cả các mặt hàng. Dầu diesel giảm mạnh nhất trong ...
Hà Nội và TP.HCM bắt đầu kiểm định khí thải xe máy từ 01/7/2027

Hà Nội và TP.HCM bắt đầu kiểm định khí thải xe máy từ 01/7/2027

5.0 (0 đánh giá)
Quyết định số 13/2026/QĐ-TTg của Thủ tướng Chính phủ đã chính thức ban hành lộ trình áp dụng quy chuẩn kỹ thuật quốc gia về khí thải đối với xe mô ...
Toyota Land Cruiser 300 Hybrid chuẩn bị có mặt tại Việt Nam?

Toyota Land Cruiser 300 Hybrid chuẩn bị có mặt tại Việt Nam?

5.0 (0 đánh giá)
Toyota Việt Nam có thể sẽ sớm bổ sung phiên bản Hybrid cho mẫu Land Cruiser 300 ngay trong năm 2026. Mẫu SUV chuyên dụng cho vượt địa hình dự kiến sẽ ...
TMT Motors tất tay với mảng xe điện đô thị, tung Wuling Macaron và Nano S05 quyết giành thị phần

TMT Motors tất tay với mảng xe điện đô thị, tung Wuling Macaron và Nano S05 quyết giành thị phần

5.0 (0 đánh giá)
TMT Motors chốt giá bán cho Wuling Macaron với hai phiên bản cùng giá lần lượt là 269 triệu và 329 triệu đồng.  Wuling Macaron có phạm vi hoạt động: 205 km và 300 km ...
VinFast VF 7 phiên bản nâng cấp

VinFast VF 7 phiên bản nâng cấp "bị lộ" hình ảnh, ngày ra mắt không còn xa?

5.0 (0 đánh giá)
Gần như cùng lúc, hình ảnh phiên bản nâng cấp của VinFast VF 7 tại nhà máy và clip xe bịt kín đang lăn bánh thử nghiệm trên đường đều xuất ...
Hà Nội: Việc áp dụng Quyết định số 01 đối với 2 loại xe con pickup và xe tải pickup nêu trên sẽ sớm được UBND thành phố quyết định

Hà Nội: Việc áp dụng Quyết định số 01 đối với 2 loại xe con pickup và xe tải pickup nêu trên sẽ sớm được UBND thành phố quyết định

5.0 (0 đánh giá)
Chiều ngày 03/4/2026, tại buổi Họp báo thông báo tình hình, kết quả các mặt công tác Công an quý I/2026 của Bộ Công an, Thượng tá Phạm Việt Công, Phó ...
Giá xăng dầu điều chỉnh ngày 03/04: Dầu diesel tiếp tục tăng giá, tiến sát mốc 45.000 đồng/lít

Giá xăng dầu điều chỉnh ngày 03/04: Dầu diesel tiếp tục tăng giá, tiến sát mốc 45.000 đồng/lít

5.0 (0 đánh giá)
Giá bán xăng dầu tiếp tục được điều chỉnh với mức tăng đồng đều ở các mặt hàng phổ biến Trong đó, dầu diesel tăng giá mạnh nhất với mức gần 4.000 ...
 
   
 
Minh Nguyễn
Tham gia: 07/04/2022
Tổng số bài: 0
Minh Huy
Tham gia: 17/07/2023
Tổng số bài: 143
phan minh nam
Tham gia: 13/12/2022
Tổng số bài: 0
Tuankiet
Tham gia: 24/08/2024
Tổng số bài: 0
nguyễn bá tùng
Tham gia: 15/03/2026
Tổng số bài: 0
Chí Lê
Tham gia: 01/07/2023
Tổng số bài: 7
Đồng Xuân Cu
Tham gia: 17/08/2023
Tổng số bài: 228
Tâm Atlas
Tham gia: 19/10/2023
Tổng số bài: 75
Honda Ôtô Huế
Tham gia: 18/11/2023
Tổng số bài: 0
Nguyễn Tuyết Hương
Tham gia: 17/07/2023
Tổng số bài: 67