Thế giới Phương tiện - Lựa chọn của bạn
 Thứ tư, 08/04/2026
Đăng bài mới

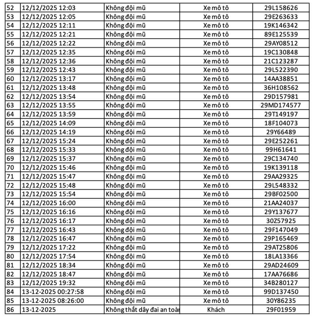
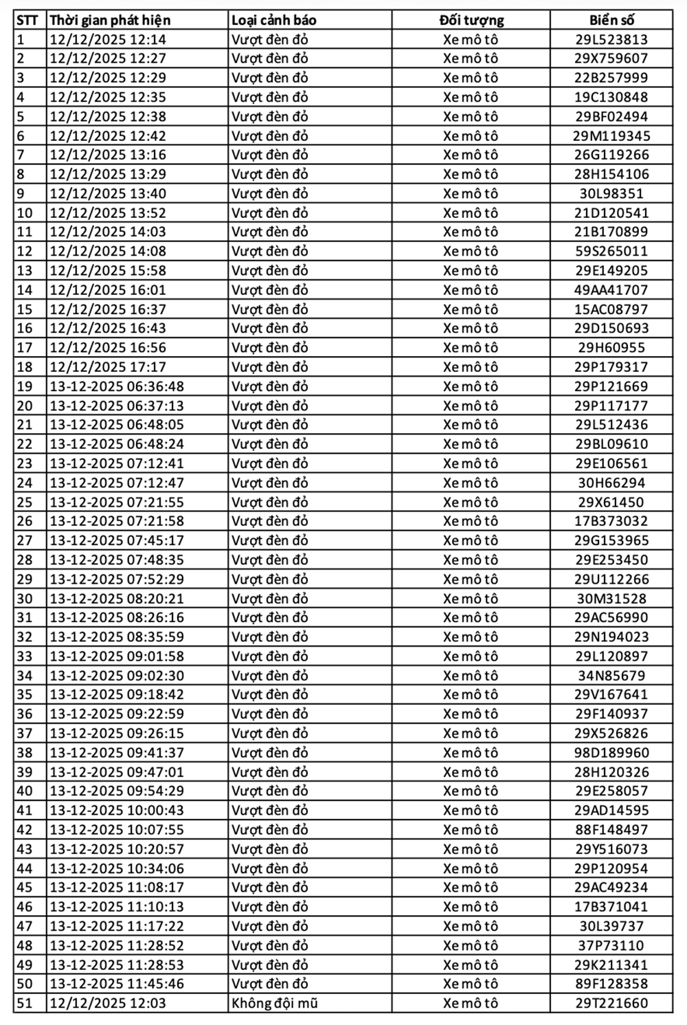
Danh sách 86 phương tiện vi phạm giao thông được camera AI ghi lại tại nội đô Hà Nội và cao tốc Nội Bài - Lào Cai

Tham gia: 17/08/2023 - Tổng số bài viết: 205
23:21 | 13/12/2025
5.0 (1 đánh giá)

Danh sách các phương tiện giao thông được camera AI phát hiện vi phạm giao thông tại nội đô Hà Nội và cao tốc Nội Bài - Lào Cai 12h ngày 12/12 - đến 12h ngày 13/12/2025.

Những trường hợp này đã được chuyển cho Công an Tp.Hà Nội và các đơn vị chức năng để thực hiện thủ tục xử lý vi phạm.

 

Trong danh sách này, các lỗi được hệ thống camera AI ghi nhận bao gồm:

  • 35 trường hợp Không đội mũ bảo hiểm
  • 50 trường hợp Vượt đèn đỏ
  • 1 trường hợp Không thắt dây an toàn

Số lượng 85 người đi mô tô vi phạm chỉ tính riêng tại nút giao phố Phạm Văn Bạch - Hoàng Quán Chi (nội đô Hà Nội)

Cục Cảnh sát Giao thông
Trắc nghiệm lý thuyết Giấy phép Lái xe
01Câu 95/ Khi tránh xe đi ngược chiều, các xe phải nhường đường như thế nào là đúng quy tắc giao thông?
02Câu 96/ Bạn đang lái xe trên đường hẹp, xuống dốc và gặp một xe đang lên dốc, bạn cần làm gì?
03Câu 97/ Tại nơi đường giao nhau giữa đường không ưu tiên với đường ưu tiên, người lái xe đang đi trên đường không ưu tiên phải nhường đường như thế nào là đúng quy tắc giao thông?
04Câu 98/ Tại nơi đường giao nhau không có báo hiệu đi theo vòng xuyến, người điều khiển phương tiện phải nhường đường như thế nào là đúng quy tắc giao thông?
05Câu 99/ Khi đi tới đoạn đường bộ giao nhau cùng mức với đường sắt không có người gác, chắn đường bộ, chuông, đèn tín hiệu, người tham gia giao thông đường bộ phải làm gì để đảm bảo an toàn giao thông?
Gửi đáp án
Đã có 19 người tham gia trả lời
Đánh giá
5.0
Số người đánh giá: 1
Rất hay
(1)
(0)
(0)
(0)
(0)
Những trường có dấu * là trường bắt buộc phải nhập thông tin
Bạn đọc nhận xét (1)
  • Thủy Lê -
    Camera AI xử lý khách quan, ai vi phạm thì chịu. Làm nghiêm và minh bạch sẽ giúp giao thông trật tự hơn
    Ngày gửi: 3 tháng trước - 14/12/2025 - 23:26

Chủ đề khác

Giá xăng dầu điều chỉnh ngày 08/04: Hiệu ứng tích cực từ Trung Đông, xăng dầu đồng loạt giảm giá, diesel giảm gần 2.000 đồng/lít

Giá xăng dầu điều chỉnh ngày 08/04: Hiệu ứng tích cực từ Trung Đông, xăng dầu đồng loạt giảm giá, diesel giảm gần 2.000 đồng/lít

0 (0 đánh giá)
Xăng dầu đồng loạt được điều chỉnh giá bán vào chiều ngày 08/04 với xu hướng giảm giá đồng loạt cho tất cả các mặt hàng. Dầu diesel giảm mạnh nhất trong ...
Hà Nội và TP.HCM bắt đầu kiểm định khí thải xe máy từ 01/7/2027

Hà Nội và TP.HCM bắt đầu kiểm định khí thải xe máy từ 01/7/2027

5.0 (0 đánh giá)
Quyết định số 13/2026/QĐ-TTg của Thủ tướng Chính phủ đã chính thức ban hành lộ trình áp dụng quy chuẩn kỹ thuật quốc gia về khí thải đối với xe mô ...
Toyota Land Cruiser 300 Hybrid chuẩn bị có mặt tại Việt Nam?

Toyota Land Cruiser 300 Hybrid chuẩn bị có mặt tại Việt Nam?

5.0 (0 đánh giá)
Toyota Việt Nam có thể sẽ sớm bổ sung phiên bản Hybrid cho mẫu Land Cruiser 300 ngay trong năm 2026. Mẫu SUV chuyên dụng cho vượt địa hình dự kiến sẽ ...
TMT Motors tất tay với mảng xe điện đô thị, tung Wuling Macaron và Nano S05 quyết giành thị phần

TMT Motors tất tay với mảng xe điện đô thị, tung Wuling Macaron và Nano S05 quyết giành thị phần

5.0 (0 đánh giá)
TMT Motors chốt giá bán cho Wuling Macaron với hai phiên bản cùng giá lần lượt là 269 triệu và 329 triệu đồng.  Wuling Macaron có phạm vi hoạt động: 205 km và 300 km ...
VinFast VF 7 phiên bản nâng cấp

VinFast VF 7 phiên bản nâng cấp "bị lộ" hình ảnh, ngày ra mắt không còn xa?

5.0 (0 đánh giá)
Gần như cùng lúc, hình ảnh phiên bản nâng cấp của VinFast VF 7 tại nhà máy và clip xe bịt kín đang lăn bánh thử nghiệm trên đường đều xuất ...
Hà Nội: Việc áp dụng Quyết định số 01 đối với 2 loại xe con pickup và xe tải pickup nêu trên sẽ sớm được UBND thành phố quyết định

Hà Nội: Việc áp dụng Quyết định số 01 đối với 2 loại xe con pickup và xe tải pickup nêu trên sẽ sớm được UBND thành phố quyết định

5.0 (0 đánh giá)
Chiều ngày 03/4/2026, tại buổi Họp báo thông báo tình hình, kết quả các mặt công tác Công an quý I/2026 của Bộ Công an, Thượng tá Phạm Việt Công, Phó ...
Giá xăng dầu điều chỉnh ngày 03/04: Dầu diesel tiếp tục tăng giá, tiến sát mốc 45.000 đồng/lít

Giá xăng dầu điều chỉnh ngày 03/04: Dầu diesel tiếp tục tăng giá, tiến sát mốc 45.000 đồng/lít

5.0 (0 đánh giá)
Giá bán xăng dầu tiếp tục được điều chỉnh với mức tăng đồng đều ở các mặt hàng phổ biến Trong đó, dầu diesel tăng giá mạnh nhất với mức gần 4.000 ...
Thế giới 2 bánh: Tháng 3/2026 - VinFast nhận hơn 135.000 đơn đặt hàng, xuất xưởng hơn 93.000 xe máy điện

Thế giới 2 bánh: Tháng 3/2026 - VinFast nhận hơn 135.000 đơn đặt hàng, xuất xưởng hơn 93.000 xe máy điện

5.0 (0 đánh giá)
VinFast đã nhận được hơn 135.000 đơn hàng và xuất xưởng hơn 93.000 xe máy điện trong tháng 3/2026, đạt mức kỷ lục trong một tháng. Hai dòng xe Evo và Feliz ...
 
   
 
RichardWic
Tham gia: 25/02/2026
Tổng số bài: 0
Trung Phan
Tham gia: 15/08/2025
Tổng số bài: 0
Phạm Gia Hân
Tham gia: 18/05/2024
Tổng số bài: 0
Mai tài
Tham gia: 12/05/2025
Tổng số bài: 0
Quimaide
Tham gia: 21/08/2023
Tổng số bài: 0
Minh Nguyễn
Tham gia: 07/04/2022
Tổng số bài: 0
Hoàng Lan Anh
Tham gia: 19/10/2023
Tổng số bài: 64
Trilam
Tham gia: 30/10/2023
Tổng số bài: 0
Isuzu Tấn Phát
Tham gia: 30/05/2025
Tổng số bài: 0
To Anh Dung
Tham gia: 05/12/2023
Tổng số bài: 79